معادله دايرهای را بنويسید كه (1.0)مركز آن بوده وبرخط "x = −3"مماس باشد
یه معادله ی دایره با مشخصات زیر میخوام .کسی میتونه بهم توضیح کلی در مورد نوشتن معادله ی دایره بده ؟
(1.0)مركز آن بوده وبرخط "x = −3"مماس باشد
٣ پاسخ
یه معادله ی دایره با مشخصات زیر میخوام .کسی میتونه بهم توضیح کلی در مورد نوشتن معادله ی دایره بده ؟
(1.0)مركز آن بوده وبرخط "x = −3"مماس باشد
برای نوشتن معادله دایرهای که مرکز آن در نقطه $$O(1, 0)$$ قرار دارد و بر خط $$x = -3$$ مماس است، مراحل زیر را دنبال میکنیم:
۱. **تعیین شعاع دایره**: از آنجایی که دایره بر خط $$x = -3$$ مماس است، فاصله مرکز دایره تا این خط برابر با شعاع دایره است. فرمول فاصله یک نقطه $$(x_0, y_0)$$ تا خط $$Ax + By + C = 0$$ به صورت زیر است:
$$
d = \frac{|Ax_0 + By_0 + C|}{\sqrt{A^2 + B^2}}
$$
در اینجا، معادله خط $$x = -3$$ را میتوان به صورت $$x + 3 = 0$$ نوشت. بنابراین $$A = 1$$، $$B = 0$$ و $$C = 3$$ است. مختصات مرکز دایره نیز $$(1, 0)$$ است. پس:
$$
r = \frac{|1(1) + 0(0) + 3|}{\sqrt{1^2 + 0^2}} = \frac{|1 + 3|}{\sqrt{1}} = \frac{4}{1} = 4
$$
بنابراین شعاع دایره برابر با 4 است.
۲. **نوشتن معادله دایره**: معادله کلی دایره به مرکز $$(\alpha, \beta)$$ و شعاع $$r$$ به صورت زیر است[2][3]:
$$
(x - \alpha)^2 + (y - \beta)^2 = r^2
$$
با جایگذاری مقادیر مرکز $$(\alpha = 1, \beta = 0)$$ و شعاع $$r = 4$$:
$$
(x - 1)^2 + (y - 0)^2 = 4^2
$$
$$
(x - 1)^2 + y^2 = 16
$$
بنابراین، معادله دایره مورد نظر به صورت $$(x - 1)^2 + y^2
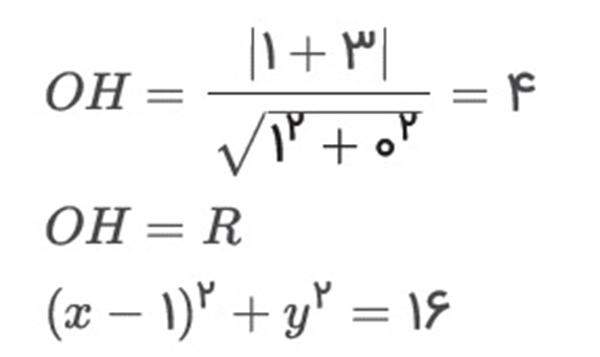
چون مماسه OH=R میشه
برای به دست آوردن OH هم روی کسر مینویسی قدرمطلق 3+1 ، مخرج هم رادیکال ( 1 به توان 2) +( صفر به توان 2)
جواب میاد 4
بعد میذاری رو معادله کلی :
(x−1)به توان 2 + y به توان 2 = 16

چون مماسه OH=R میشه
برای به دست آوردن OH هم روی کسر مینویسی قدرمطلق 3+1 ، مخرج هم رادیکال ( 1 به توان 2) +( صفر به توان 2)
جواب میاد 4
بعد میذاری رو معادله کلی :
(x−1)به توان 2 + y به توان 2 = 16