پرسش خود را بپرسید
			
		
					
						
							
					
		
			
				
			
				
					
						 
					
					
				
					
						 
					
					
			
			
				
				
					
						
					
					
					
						
							
								
								
									
										
											
												 
											
											
										
											
												 
											
											
										
											
												 
											
											
									
								
							
						
					
						
								
									
										 
									
								
						
						
							
							
						
				
			
		
			
				
					
				
					
						
					
				
			
				
					
						
						
							
								
							
							
								
									
										
										
											
												
													
														 
													
													
												
													
														 
													
													
												
													
														 
													
													
											
										
									
								
								
									
										 
									
									
							
								
										
											
												 
											
										
										
											
												 
											
										
										
											
												 
											
										
										
											
												 
											
										
								
								
									
									
								
						
					
				
				
					
						
						
							
								
							
							
								
									
										
										
											
												
													
														 
													
													
												
													
														 
													
													
												
													
														 
													
													
											
										
									
								
								
									
										 
									
									
							
								
									
									
								
						
					
				
				
					
						
						
							
								
							
							
								
									
										
										
											
												
													
														 
													
													
												
													
														 
													
													
												
													
														 
													
													
											
										
									
								
								
									
										 
									
									
							
								
										
											
												 
											
										
								
								
									
									
								
						
					
				
				
					
						
						
							
								
							
							
								
									
										
										
											
												
													
														 
													
													
												
													
														 
													
													
												
													
														 
													
													
											
										
									
								
								
									
										 
									
									
							
								
										
											
												 
											
										
								
								
									
									
								
						
					
				
				
					
						
						
							
								
							
							
								
									
										
										
											
												
													
														 
													
													
												
													
														 
													
													
												
													
														 
													
													
											
										
									
								
								
									
										 
									
									
							
								
										
											
												 
											
										
								
								
									
									
								
						
					
				
		
			
				
					
				
			
			
				
			
		
		
			
				
			
		
		
			
		
	
	
								
									١٢٤,٠٠٠
								
								
									تومان پاداش این پرسش تعلق گرفت به
								
							
							
						چهار سوال سخت انتگرال دوگانه و سه گانه و انتگرال خط // ریاضی 2 صنعتی اصفهان
						
							٤ ماه پیش
						
					
				
						
							١,٩٠٥
						
					
				درود دوستان
کسی میتونه این چهار تا تمرین رو برام حل کنه؟ اگه مهندس محسنتبار بتونند زحمت حلشون رو بکشند، ممنون میشم
با تشکر
										
											٨١,٣٣٥
										
									
									
												١١٧
											
										
												٨٠٧
											
										
												١,٠٧٩
											
										 
									٥ پاسخ
						
							مرتب سازی بر اساس:
						
					
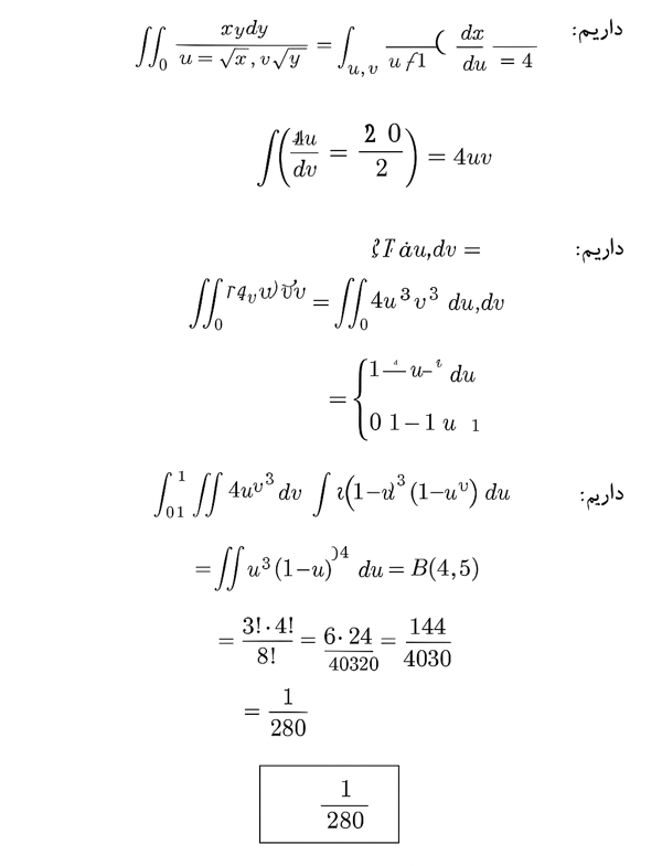
					سلام. پاسخ کامل سوالات رو در عکسها میتونید ملاحظه کنید.
دانشجویان میتوانند با شرکت در کلاسهای جمعبندی ما به تسلط نسبی بالایی برسند.
موفق باشید
												
													١٤١,٤٢٦
												
											
											
														١٦٩
													
												
														٣٢٧
													
												
														١,٣٨١
													
												
										
											٤ ماه پیش
										
									
								 
											 
											 
											 
											راستش واسه این سوال اصلاً اینو ندارم که برم عین دوستان از منابعی که مه میشناسیمشون کپی کنم پس خوش باشید و واسه اینکه جوابتونم دادهداده باشم بدون کپی و با افتخار به اشتباه میگم ۱۶ ۱۷ ۱۸
												
													٥٠
												
											
											
														٠
													
												
														٢
													
												
														٢
													
												
										
											١ ماه پیش
										
									
								عکس جواب سوال 4 رو گذاشتم
												
													٣٠
												
											
											
														٠
													
												
														١
													
												
														٠
													
												
										
											٤ ماه پیش
										
									
								 
											پاسخ سوال دو خدمت شما
												
													١,٩٧٣
												
											
											
														٢
													
												
														٥١
													
												
														٤
													
												
										
											٤ ماه پیش
										
									
								 
											جواب سوال یک خدمت شما
												
													١,٩٧٣
												
											
											
														٢
													
												
														٥١
													
												
														٤
													
												
										
											٤ ماه پیش
										
									
								 
											 
									 
										 
												 
												