پرسش خود را بپرسید
١٦,٠٠٠
تومان پاداش این پرسش تعلق گرفت به
حل تست کنکور انتگرال دوگانه
٩ ماه پیش
١,٢٧٨
دوستان لطفا راه حل برام بگید ممنون
"عکس سوال رو گذاشتم"
٤,٢٩٣
٠
١
١٩٢

٣ پاسخ
مرتب سازی بر اساس:
خدمت شما جواب کامل
١,٩٥٣
٢
٥١
٤
٩ ماه پیش


گزینه 2مطمئن هستم
١٠
٠
٠
٠
٩ ماه پیش
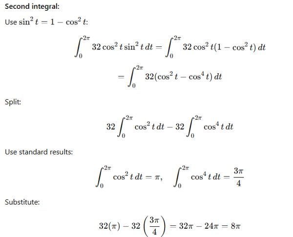
پاسخ گزینه ۴ (8pi) است.
راه حل را به صورت تصویری پیوست کردم. ایدهی اصلی استفاده از قضیهی استوکس و پارامتری کردن کرهی S و سپس محاسبه کردن انتگرال خواسته شده است.
٩٥٧
٠
١٩
١
٩ ماه پیش





میشه اسم برنامه ای که استفاده کردین رو بگین؟