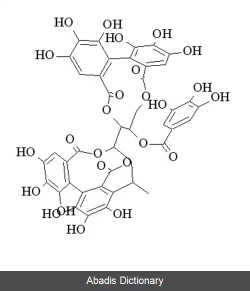
استنوفیلانین ای ( به انگلیسی: Stenophyllanin A ) با فرمول شیمیایی C۴۲H۳۰O۲۵ یک ترکیب شیمیایی است. که جرم مولی آن ۹۳۴٬۶۴ g/mol می باشد.
این نوشته برگرفته از سایت ویکی پدیا می باشد، اگر نادرست یا توهین آمیز است، لطفا گزارش دهید: گزارش تخلف
wiki: استنوفیلانین ای