پرسش خود را بپرسید
٣٣,٦٠٠ تومان پاداش این پرسش تعلق گرفت به

مدارهای الکتریکی 1 / پاسخ پله و پاسخ ضربه

تاریخ
٧ ماه پیش
بازدید
١,٢٩٢

درود. کسی میتونه این سوال رو حل کنه؟ البته با توضیحات کافی میخامش

١٤,٥١٦
طلایی
٣
نقره‌ای
٣٦
برنزی
١٥٤
عکس پرسش

٣ پاسخ

مرتب سازی بر اساس:

سلام. جواب کامل سوالتون رو نوشتم

١١,٩٨٣
طلایی
٣
نقره‌ای
٣٥
برنزی
١٢٦
تاریخ
٧ ماه پیش
عکس پرسش

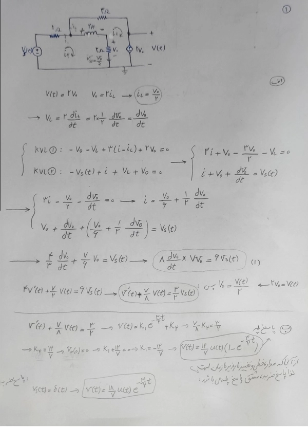
برای حل این سوال که شامل یک مدار RLC با منبع وابسته است، مراحل زیر را دنبال می‌کنیم:


🔹 صورت سوال:

در مدار شکل بالا:

الف) معادله دیفرانسیلی بر حسب بنویسید.
ب) پاسخ پله و ضربه را محاسبه نمایید.


✅ تحلیل مدار (بخش الف): یافتن معادله دیفرانسیلی

1. شناسایی اجزا مدار:

  • منبع ولتاژ ورودی:
  • مقاومت‌ها:
    •  
    •  
    •  
  • سلف:
  • منبع وابسته: ولتاژ برابر با ، که ولتاژ دو سر است.
  • خروجی: (دو سر منبع وابسته)

2. تعریف جریان:

فرض کنید جریان در حلقه چپ برابر باشد.

طبق قانون کیرشهف ولتاژ برای حلقه چپ:

V_s(t) = i(t)(1 + 2) + L \frac{di(t)}{dt} = 3i(t) + 2 \frac{di(t)}{dt} \quad \text{(معادله 1)}

همچنین:

V_0 = 2i(t) \quad \text{(چون دو سر مقاومت ۲ اهم)}

بنابراین:

v(t) = 2V_0 = 4i(t) \quad \Rightarrow \quad i(t) = \frac{v(t)}{4}

3. جایگذاری در معادله (1):

جایگذاری در معادله:

V_s(t) = 3 \cdot \frac{v(t)}{4} + 2 \cdot \frac{d}{dt}\left( \frac{v(t)}{4} \right) = \frac{3}{4}v(t) + \frac{1}{2} \frac{dv(t)}{dt}

در نتیجه:

\boxed{ \frac{dv(t)}{dt} + \frac{3}{2}v(t) = 2V_s(t) }


✅ پاسخ بخش ب: پاسخ پله و ضربه

1. پاسخ پله:

ورودی پله:

V_s(t) = u(t) \Rightarrow \text{لپلاس: } V_s(s) = \frac{1}{s}

رابطه لپلاس از معادله دیفرانسیلی:

sV(s) + \frac{3}{2}V(s) = 2 \cdot \frac{1}{s} \Rightarrow V(s) \left( s + \frac{3}{2} \right) = \frac{2}{s} \Rightarrow V(s) = \frac{2}{s\left(s + \frac{3}{2} \right)}

تجزیه به کسر جزئی:

\frac{2}{s\left(s + \frac{3}{2} \right)} = \frac{A}{s} + \frac{B}{s + \frac{3}{2}}

ضرب دو طرف در مخرج مشترک:

2 = A\left(s + \frac{3}{2}\right) + Bs

برای یافتن و :

  • اگر :
     
  • اگر :
     

پس:

V(s) = \frac{4}{3s} - \frac{4}{3(s + \frac{3}{2})} \Rightarrow v(t) = \frac{4}{3} \left( 1 - e^{-\frac{3}{2}t} \right) u(t)


2. پاسخ ضربه:

برای ورودی ضربه داریم:

از معادله دیفرانسیلی:

\frac{dv(t)}{dt} + \frac{3}{2}v(t) = 2\delta(t)

حل با تابع تبدیل:

ورودی در لپلاس:

پس:

V(s) = \frac{2}{s + \frac{3}{2}} \Rightarrow v(t) = 2 e^{-\frac{3}{2}t} u(t)


✅ پاسخ نهایی:

معادله دیفرانسیلی:

\boxed{ \frac{dv(t)}{dt} + \frac{3}{2}v(t) = 2V_s(t) }

پاسخ پله:

\boxed{ v(t) = \frac{4}{3} \left( 1 - e^{-\frac{3}{2}t} \right) u(t) }

پاسخ ضربه:

\boxed{ v(t) = 2 e^{-\frac{3}{2}t} u(t) }

اگر بخوای نمودار رسم کنم یا به صورت کد شبیه‌سازی‌شده در متلب یا پایتون ارائه بدم، خوشحال می‌شم انجام بدم.

تاریخ
٧ ماه پیش

پاسخ سوال خدمت شما

٢,٠٦٠
طلایی
٢
نقره‌ای
٥١
برنزی
٤
تاریخ
٧ ماه پیش
عکس پرسش
عکس پرسش
عکس پرسش
عکس پرسش
عکس پرسش

پاسخ شما